Master (2023-2024) – Géorisques

<<Durant mon année de Master 2, j’ai mené un travail de recherche visant à estimer les zones à risques de mouvements gravitaires (chutes de blocs, érosion de berge, glissements de terrain, …) sur l’ensemble des département du Jura et du Doubs. Mes travaux ont consisté à construire une base de données de référence exhaustive des mouvements gravitaires historiques sur le territoire basé sur plusieurs sources. Cette base de données a été ensuite complétée par des informations géomorphologiques (lithologie, pente moyenne, distance aux fractures) et hydrogéologiques (type d’aquifère, distance au réseau hydrographique, …) afin de réaliser des analyses statistiques sur les facteurs de prédispositions des mouvements gravitaires. Les résultats des analyses statistiques ont permis de mettre en évidence que les facteurs de prédisposition comme la pente ou la lithologie sont les principaux contrôles, permettant de définir des zones à risques préférentiels d’événement pour chaque mouvement gravitaire étudiés.>>

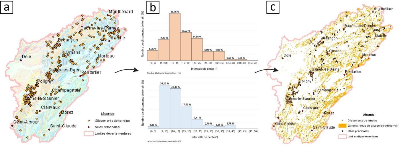
Légende :

a. Carte géologique vectorisée des départements du Jura et du Doubs. Les événements de glissements de terrains recensés sont représentés en orange. b. Histogramme du pourcentage de glissements de terrain classé selon la lithologie et la pente moyenne des sites. c. Représentation des zones à risques de glissements de terrain (orange) dans les départements du Jura et du Doubs basée sur les critères géomorphologiques des événements recensés.

Olivier Béjan-Maillard – “Risques de mouvements gravitaires dans le Doubs et le Jura”
Géosciences & Environnement
Close Search Window